Preview

Russian Technological Journal

Расширенный поиск

Влияние разбаланса квадратурного преобразования на помехоустойчивость приема сигналов с амплитудно-фазовой манипуляцией

https://doi.org/10.32362/2500-316X-2024-12-1-59-68

Аннотация

Цели. В настоящее время сигналы с амплитудно-фазовой манипуляцией (АФМ) активно используются в системах спутниковой связи и, особенно, в системах, работающих в условиях ограниченности спектра радиочастот с повышенными требованиями к качеству передачи данных. В этих системах применяются приемники многоканального типа с принятием решения о принимаемом символе по максимуму правдоподобия (корреляционный приемник) или приемники квадратурного типа. Помехоустойчивость этих приемников напрямую зависит от качества формирования опорных колебаний: для корреляционных приемников – эталонных сигналов, а для квадратурных приемников – синфазной и квадратурной составляющих. Цель работы – анализ влияния разброса амплитудных и фазовых параметров синфазного и квадратурного канала на помехоустойчивость приема сигналов АФМ с круговой формой сигнального созвездия.

Методы. Использованы методы статистической радиотехники, теории оптимального приема сигналов и компьютерного моделирования.

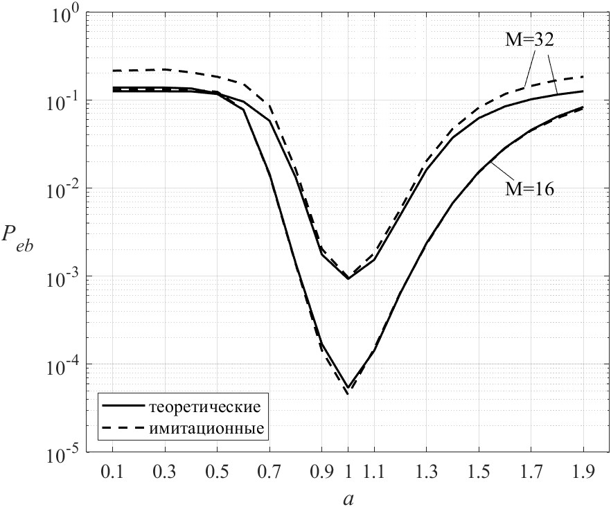
Результаты. Получены характеристики помехоустойчивости приема сигналов АФМ в зависимости от разброса параметров квадратурного преобразователя. Теоретические расчеты подтверждены результатами имитационного моделирования при передаче АФМ-сигналов в гауссовском канале связи. Проведено сравнение с системами, использующими сигналы с квадратурной амплитудной модуляцией (КАМ).

Выводы. Проведенные исследования показали, что разбаланс квадратурных опорных колебаний может привести к существенному снижению помехоустойчивости радиосистем, использующих АФМ-сигналы. Минимальные энергетические потери из-за разбаланса квадратурных опорных колебаний достигаются при значении разбаланса менее 10% по амплитуде и 2°–3° по фазе. Амплитудный разбаланс квадратурных опорных колебаний при приеме сигналов КАМ сказывается сильнее, чем при приеме сигналов АФМ. Фазовый разбаланс сказывается приблизительно одинаково.

Об авторах

Г. В. Куликов
МИРЭА – Российский технологический университет
Россия

Куликов Геннадий Валентинович - д.т.н., профессор, профессор кафедры радиоэлектронных систем и комплексов Института радиоэлектроники и информатики, Scopus Author ID 36930533000.

119454, Москва, пр-т Вернадского, д. 78


Конфликт интересов:

Авторы заявляют об отсутствии конфликта интересов



С. Х. Данг
МИРЭА – Российский технологический университет
Россия

Данг Суан Ханг - аспирант, кафедра радиоэлектронных систем и комплексов Института радиоэлектроники и информатики.

119454, Москва, пр-т Вернадского, д. 78


Конфликт интересов:

Авторы заявляют об отсутствии конфликта интересов



Список литературы

1. Antiufrieva L., Ivchenko A., Dvorkovich A. Features of a coarse frequency synchronization for DVB-S2X system. In: 2020 International Conference Engineering and Telecommunication (En & T). 2020. https://doi.org/10.1109/EnT50437.2020.9431306

2. Абрамов С.С., Павлов И.И., Абрамова Е.С., Павлова М.С. Формирование радиосигналов для цифрового телерадиовещания. 2-е изд. Новосибирск: СибГУТИ; 2019. 246 с.

3. Маглицкий Б.Н., Сергеева А.С., Синявская А.С. Принципы построения спутникового телевидения. Теория и практика. Новосибирск: СибГУТИ; 2016. 95 с.

4. Вершинин А.С., Эрдынеев Ж.Т. Космические и наземные системы радиосвязи и сети телерадиовещания. Томск: ТУСУР; 2013. 184 с. URL: https://edu.tusur.ru/publications/3449. Дата обращения 22.05.2023.

5. Куликов Г.В., Лелюх А.А. Влияние амплитудного и фазового разбаланса квадратур на помехоустойчивость когерентного приема сигналов с квадратурной амплитудной модуляцией. Russian Technological Journal. 2021;9(1):29–37. https://doi.org/10.32362/2500-316X-2021-9-1-29-37

6. Бабанин И.Г., Михайлова Н.Ю., Николаенко А.И., Коптев Д.С. Процедура оценки влияния неидеальности параметров оптимального демодулирующего устройства системы приема сигналов с квадратурной амплитудной модуляцией различной позиционности и коэффициента неравномерности сигнального созвездия на эквивалентные энергетические потери. Радиотехника. 2019;83(10–16):60–69.

7. Park J., Park S., Cho P.D., Lee H.-Ho. Effect of phase/quadrature error and I/Q gain imbalance for QAM symbol error probability. IEICE Trans. Commun. 2007;E90-B(11):3287–3289. https://doi.org/10.1093/ietcom/e90-b.11.3287

8. Янушковский А.Ю., Кривошейкин А.В. Помехоустойчивость приема сигналов фазоамплитудной модуляции в условиях неидеальности квадратурных каналов. Известия высших учебных заведений. Приборостроение. 2011;54(9):58–63.

9. Гуревич В.Э., Девяткин Д.В., Харьков О.И. Исследование реальной помехоустойчивости системы радиодоступа с квадратурной модуляцией при дефазировании опорных колебаний. В сб.: Актуальные проблемы инфотелекоммуникаций в науке и образовании: Сборник научных статей: в 4 т. 2017. Т. 1. С. 154–159.

10. Хасьянова Е.Р., Седов М.О. Экспериментальное исследование методов оценки и компенсации погрешностей квадратурного преобразования сигналов с модуляцией М-КАМ. Системы синхронизации, формирования и обработки сигналов. 2017;8(1):119–122.

11. Пестряков А.В., Поборчая Н.Е., Хасьянова Е.Р. Оценка влияния сдвига несущей частоты на эффективность работы алгоритма компенсации погрешностей квадратурного преобразования. В сб.: 26-я Международная Крымская конференция «СВЧ-техника и телекоммуникационные технологии» (КрыМиКо’2016): материалы конференции: в 13 т. 2016. T. 3. С. 413–417.

12. Пестряков А.В., Хасьянова Е.Р. Оценка и компенсация погрешностей квадратурного преобразования при приеме сигнала с модуляцией КАМ-64 с применением метода статистического усреднения. В сб.: Технологии информационного общества. X Международная отраслевая научно-техническая конференция. 2016. С. 196.

13. Куликов Г.В., Усманов Р.Р., Трофимов Д.С. Анализ помехоустойчивости приема сигналов с многопозиционной амплитудно-фазовой манипуляцией в присутствии гармонической помехи. Наукоемкие технологии. 2020;21(1): 22–29. URL: http://radiotec.ru/ru/journal/Science_Intensive_Technologies/number/2020-1/article/19749. Дата обращения 22.05.2023.

14. Куликов Г.В., Ханг Д.С., Стариковский А.И. Помехоустойчивость приема сигналов с амплитудно-фазовой манипуляцией на фоне частотно-манипулированной помехи. Вопросы радиоэлектроники. Серия: Техника телевидения. 2022;4:44–51.

15. Proakis J.G. Digital communications. 4th ed. NY: McGraw-Hill; 2001. 1002 p.


Дополнительные файлы

1. Зависимости вероятности битовой ошибки от величины амплитудного разбаланса квадратурных каналов
Тема
Тип Исследовательские инструменты
Посмотреть (134KB)    
Метаданные ▾
  • Исследование показало, что разбаланс квадратурных опорных колебаний может привести к существенному снижению помехоустойчивости радиосистем, использующих сигналы с амплитудно-фазовой манипуляцией. Минимальные энергетические потери из-за разбаланса квадратурных опорных колебаний достигаются при значении разбаланса менее 10% по амплитуде и 2°–3° по фазе.
  • Амплитудный разбаланс квадратурных опорных колебаний при приеме сигналов с квадратурной амплитудной модуляцией сказывается сильнее, чем при приеме сигналов с амплитудно-фазовой манипуляцией.
  • Фазовый разбаланс сказывается приблизительно одинаково.

Рецензия

Для цитирования:


Куликов Г.В., Данг С.Х. Влияние разбаланса квадратурного преобразования на помехоустойчивость приема сигналов с амплитудно-фазовой манипуляцией. Russian Technological Journal. 2024;12(1):59-68. https://doi.org/10.32362/2500-316X-2024-12-1-59-68

For citation:


Kulikov G.V., Dang X.Kh. Influence of quadrature transformation imbalance on the noise immunity of signal reception with amplitude-phase shift keying. Russian Technological Journal. 2024;12(1):59-68. https://doi.org/10.32362/2500-316X-2024-12-1-59-68

Просмотров: 647


Creative Commons License
Контент доступен под лицензией Creative Commons Attribution 4.0 License.


ISSN 2782-3210 (Print)
ISSN 2500-316X (Online)