Развитие обобщенных модельных представлений теплового удара для локально-неравновесных процессов переноса теплоты
https://doi.org/10.32362/2500-316X-2023-11-3-70-85
Аннотация
Цели. Процессы переноса энергии в твердых телах и вызываемые ими тепловые нагрузки имеют широкое распространение в природе и технике. Этим объясняется исключительно важное научное и практическое значение построения теории указанных процессов, создание эффективных методов исследования развиваемых при этом модельных представлений. Цель этих исследований - установление основных закономерностей протекания достаточно сложных процессов, особенно в условиях мощных энергетических воздействий в различного рода технологических операциях. К ним можно отнести плазмохимическую обработку материалов, обработку в инфракрасных печах и гелиоустановках, интенсивный нагрев материалов лазерными или электронными лучами, применение мощных радиационных излучателей для термической закалки и упрочнения поверхности изделий. В этих случаях возникает так называемый термический удар - одна из центральных тем в термомеханике и физике прочности твердых тел, имеющая важное научное и практическое значение. Цель работы - рассмотреть открытую проблему теории теплового удара в терминах обобщенной модели динамической термоупругости в условиях локально-неравновесного процесса переноса теплоты. Модель (в зависимости от вида и кривизны граничной поверхности рассматриваемого массивного тела) позволяет исследовать проблему в трех системах координат: декартовы координаты - массивное тело, ограниченное плоской поверхностью; сферические координаты - массивное тело с внутренней сферической полостью; цилиндрические координаты - массивное тело с внутренней цилиндрической полостью. Рассматриваются три вида интенсивного нагрева: температурный, тепловой, нагрев средой. Ставится задача: получить аналитическое решение, провести численные эксперименты и дать их физический анализ.
Методы. Использованы методы и теоремы операционного исчисления, теория специальных функций.
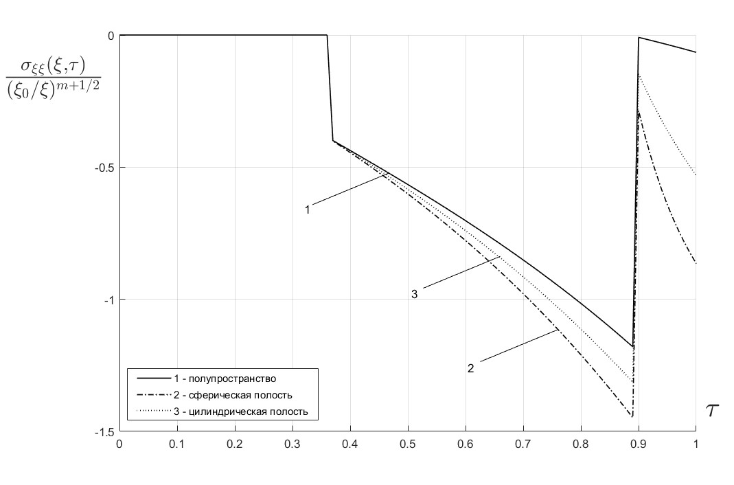
Результаты. Развиты обобщенные модельные представления теплового удара в терминах динамической термоупругости для локально-неравновесных процессов переноса теплоты одновременно в трех системах координат: декартовой, сферической и цилиндрической. Наличие кривизны граничной поверхности области теплового удара обосновывает исходную постановку динамической задачи в перемещениях с использованием предложенного соответствующего уравнения «совместности».
Выводы. Предложена обобщенная динамическая модель термической реакции массивных тел с внутренними полостями одновременно в декартовой, сферической и цилиндрической системах координат в условиях интенсивного температурного нагрева, теплового нагрева, нагрева средой. Модель рассмотрена в перемещениях на основе локально-неравновесного теплопереноса. Получено аналитическое решение для напряжений, проведен численный эксперимент; описан волновой характер распространения термоупругой волны. Проведено сравнение с классическим решением без учета локальной неравновесности. На основе операционного решения задачи предложены важные в практическом отношении расчетные инженерные соотношения для верхней оценки максимума термических напряжений.
Об авторе
Э. М. КарташовРоссия
Карташов Эдуард Михайлович – доктор физико-математических наук, Заслуженный деятель науки РФ, Почетный работник высшего профессионального образования РФ, Почетный работник науки и техники РФ, Почетный профессор МИТХТ им. М.В. Ломоносова, Лауреат Золотой медали АН Беларуси по теплофизике, профессор, кафедра высшей и прикладной математики Института тонких химических технологий им. М.В. Ломоносова ФГБОУ ВО «МИРЭА - РТУ».
119571, Россия, Москва, пр-т Вернадского, д. 86
Scopus Author ID 7004134344, ResearcherID Q-9572-2016
Конфликт интересов:
Нет
Список литературы
1. Карташов Э.М. Модельные представления теплового удара в динамической термоупругости. Russ. Technol. J. 2020;8(2):85-108. https://doi.org/10.32362/2500-316X-2020-8-2-85-108
2. Карташов Э.М. Новые операционные соотношения для математических моделей локально-неравновесного теплообмена. Russ. Technol. J. 2022;10(1):68-79. https://doi.org/10.32362/2500-316X-2022-10-1-68-79
3. Кудинов И.В., Кудинов В.А. Математическая модель локально-неравновесного теплопереноса с учетом пространственно-временной нелокальности. Инженерно-физический журнал. 2015;88(2):393-408.
4. Кудинов В.А., Еремин А.В., Кудинов И.В. Разработка и исследование сильно неравновесной модели теплообмена в жидкости с учетом пространственно-временной нелокальности и диссипации энергии. Теплофизика и аэромеханика. 2017;24(6):929-935.
5. Кирсанов Ю.А., Кирсанов А.Ю. Об измерении времени тепловой релаксации твердых тел. Изв. РАН. Энергетика. 2015;1:113-122.
6. Карташов Э.М., Кудинов В.А. Аналитические методы теории теплопроводности и ее приложений. М.: URSS; 2012. 1080 с. ISBN 978-5-9710-4994-4
7. Соболев С.Л. Процессы переноса и бегущие волны в локально-неравновесных системах. Успехи физ. наук. 1991;161(3):5-29. https://doi.org/10.3367/UFNr.0161.199103b.0005
8. Соболев С.Л. Локально-неравновесные модели процессов переноса. Успехи физ. наук. 1997;167(10): 1095-1106. https://doi.org/10.3367/UFNr.0167.199710f.1095
9. Кудинов И.В., Котова Е.В., Кудинов В.А. Метод получения аналитических решений краевых задач на основе определения дополнительных граничных условий и дополнительных искомых функций. Сиб. журн. вычисл. математ. 2019;22(2):153-165. https://doi.org/10.15372/SJNM20190203
10. Кудинов В.А., Еремин А.В., Кудинов И.В., Жуков В.В. Исследование сильнонеравновесной модели теплового воспламенения с учетом пространственно-временной нелокальности. Физика горения и взрыва. 2018;54(6):25-29. https://doi.org/10.15372/FGV20180603
11. Формалев В.Ф. Уравнения математической физики. М.: URSS; 2021. 648 с. ISBN 978-5-9710-8380-1
12. Kudinov I.V., Eremin A.V., Kudinov V.A., Dovgallo A.I., Zhukov V.V. Mathematical model of damped elastic rod oscillations with dual-phase-lag. Int. J. Solids Struct. 2020; 200-201:231-241. https://doi.org/10.1016/j.ijsolstr.2020.05.018
13. Zhukov V.V. Study of analytical solution of the thermal conductivity equation considering relaxation phenomena under the third class boundary conditions. J. Phys.: Conf. Ser. 2021;1889:022027. https://doi.org/10.1088/1742-6596/1889/2/022027
14. Zhukov V.V., Kudinov I.V., Kutsev N.M., Mikheeva G.V., Klebleev R.M. Determination of quasi-static and residual stresses in the course of the thermoplastic hardening in a boundary layer of the material. IOP Conf. Ser.: Mater. Sci. Eng. 2020;709(3):033078. https://doi.org/10.1088/1757-899X/709/3/033078
15. Eremin A.V., Kudinov V.A., Kudinov I.V., Zhukov V.V., Trubitsyn K.V. Mathematical model of fuel heat ignition considering space-time nonlocality. IOP Conf. Ser.: Mater. Sci. Eng. 2019;552(1):012003. https://doi.org/10.1088/1757-899X/552/1/012003
16. Карташов Э.М. Аналитические решения гиперболических моделей теплопроводности. Инженерно-физ. журн. 2014;87(5):1072-1081.
17. Карташов Э.М., Кудинов В.А. Аналитическая теория теплопроводности и прикладной термоупругости. М.: URSS; 2012. 670 с. ISBN 978-5-397-02750-2
Дополнительные файлы
|
|
1. Зависимость напряжения от времени | |
| Тема | ||
| Тип | Исследовательские инструменты | |
Посмотреть
(65KB)
|
Метаданные ▾ | |
- Предложена обобщенная динамическая модель термической реакции массивных тел с внутренними полостями одновременно в декартовой, сферической и цилиндрической системах координат в условиях интенсивного температурного нагрева, теплового нагрева, нагрева средой. Модель рассмотрена в перемещениях на основе локально-неравновесного теплопереноса.
- Получено аналитическое решение для напряжений, проведен численный эксперимент; описан волновой характер распространения термоупругой волны. Проведено сравнение с классическим решением без учета локальной неравновесности.
- На основе операционного решения задачи предложены важные в практическом отношении расчетные инженерные соотношения для верхней оценки максимума термических напряжений.
Рецензия
Для цитирования:
Карташов Э.М. Развитие обобщенных модельных представлений теплового удара для локально-неравновесных процессов переноса теплоты. Russian Technological Journal. 2023;11(3):70-85. https://doi.org/10.32362/2500-316X-2023-11-3-70-85
For citation:
Kartashov E.M. Developing generalized model representations of thermal shock for local non-equilibrium heat transfer processes. Russian Technological Journal. 2023;11(3):70-85. https://doi.org/10.32362/2500-316X-2023-11-3-70-85
JATS XML


























