Preview

Russian Technological Journal

Расширенный поиск

Распределение напряженности температурного поля на поверхности включений графена в матричном композите

https://doi.org/10.32362/2500-316X-2025-13-2-46-56

EDN: TNQTWK

Аннотация

Цели. Цель работы – получить аналитическое выражение для распределения напряженности температурного поля на поверхностях анизотропных включений в форме тонких дисков в матричном композите и применить полученные выражения для прогнозирования величины напряженности температурного поля на поверхности графеновых включений со стороны матрицы.

Методы. Включение в форме тонкого кругового диска является частным предельным случаем эллипсоидального включения. Для получения требуемых аналитических выражений используется ранее полученное авторами более общее выражение для оператора концентрации напряженности электрического поля на поверхности эллипсоидального включения, поскольку задачи нахождения электростатического и температурного поля в стационарном случае математически эквивалентны. Данный оператор связывает напряженность поля на поверхности включения со стороны матрицы со средней напряженностью поля в образце композита, выражение для него получено в обобщенном сингулярном приближении.

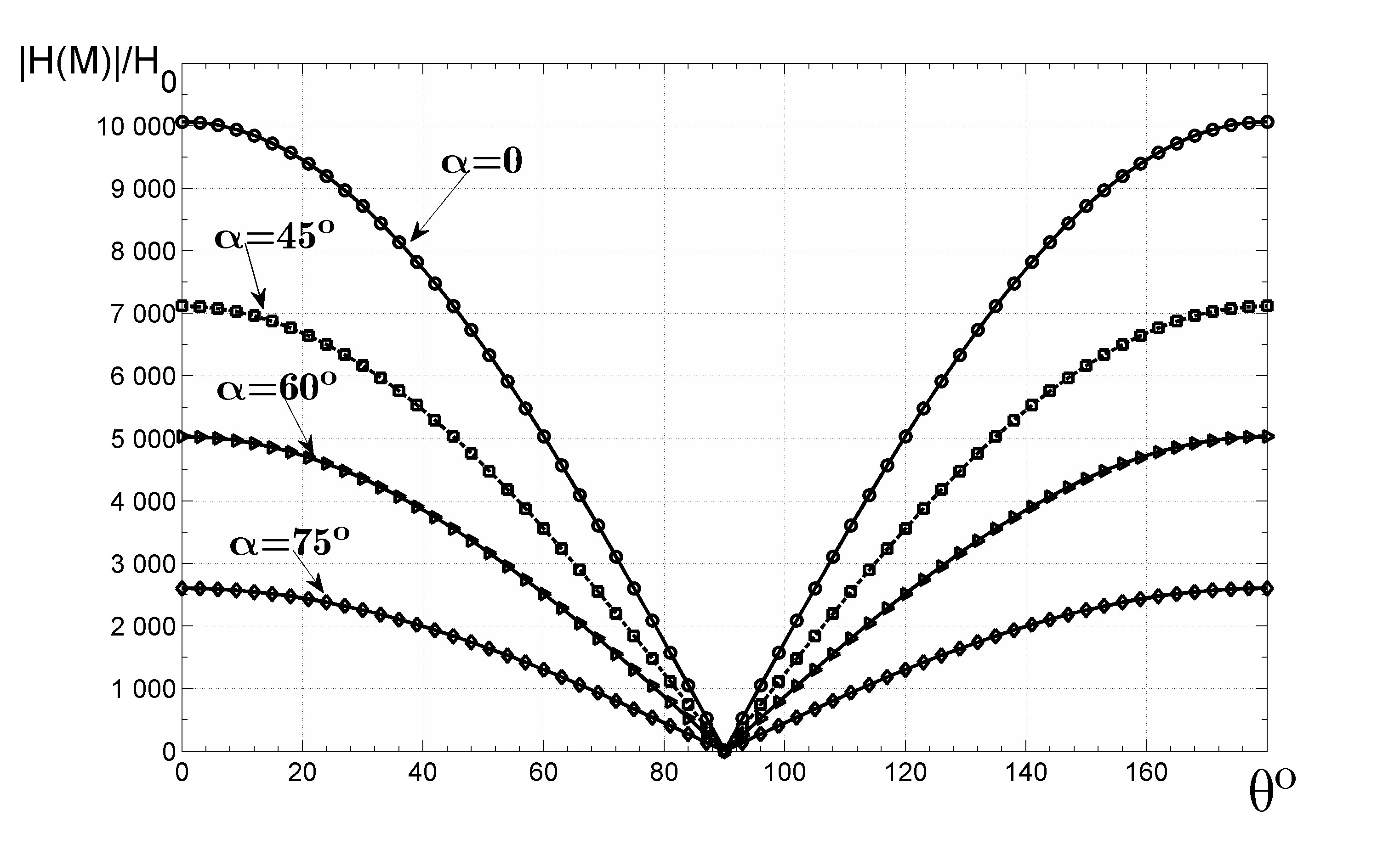
Результаты. Получены аналитические выражения для оператора концентрации напряженности температурного поля на поверхности включения в форме тонкого диска из многослойного графена в матричном композите с учетом анизотропии включения в зависимости от положения точки на поверхности включения, от объемной доли включений в материале, от ориентации включения. Рассмотрены два вида распределения ориентаций включений: одинаково ориентированные включения и равномерное распределение ориентаций включений. Проведены модельные расчеты величины напряженности температурного поля в точках ребра включения-диска в зависимости от угла между радиус-вектором данной точки и направлением напряженности приложенного поля.

Выводы. Показано, что в случае графеновых многослойных включений в точках на их ребрах величина напряженности поля может на несколько порядков превышать напряженность приложенного поля.

Об авторах

И. В. Лавров
Институт нанотехнологий микроэлектроники, Российская академия наук
Россия

Лавров Игорь Викторович, к.ф.-м.н., доцент, старший научный сотрудник

119334, Москва, Ленинский пр-т, д. 32А

Scopus Author ID 35318030100; 

ResearcherID D-1011-2017


Конфликт интересов:

Авторы заявляют об отсутствии конфликта интересов.



В. В. Бардушкин
Институт нанотехнологий микроэлектроники, Российская академия наук
Россия

Бардушкин Владимир Валентинович, д.ф.-м.н., доцент, главный научный сотрудник

119334, Москва, Ленинский пр-т, д. 32А

Scopus Author ID 55620242900;

ResearcherID D-1010-2017


Конфликт интересов:

Авторы заявляют об отсутствии конфликта интересов.



В. Б. Яковлев
Институт нанотехнологий микроэлектроники, Российская академия наук
Россия

Яковлев Виктор Борисович, д.ф.-м.н., профессор, главный научный сотрудник и ученый секретарь

119334, Москва, Ленинский пр-т, д. 32А

Scopus Author ID 7201907574;

ResearcherID E-7995-2017


Конфликт интересов:

Авторы заявляют об отсутствии конфликта интересов.



Список литературы

1. Novoselov K.S., Geim A.K., Morozov S.V., Jiang D., Zhang Y., Dubonos S.V., Grigorieva I.V., Firsov A.A. Electric field effect in atomically thin carbon films. Science. 2004;306(5696):666–669. https://doi.org/10.1126/science.1102896

2. Новоселов К.С. Графен: материалы Флатландии. Успехи физических наук (УФН). 2011;81(12):1299–1311. https://doi.org/10.3367/UFNr.0181.201112f.1299

3. Bunch J.S., Van der Zande A.M., Verbridge S.S., Frank I.W., Tanenbaum D.M., Parpia J.M., Craighead H.G., McEuen P.L. Electromechanical resonators from graphene sheets. Science. 2007;315(5811):490–493. https://doi.org/10.1126/science.1136836

4. Yan Zh., Nika D.L., Balandin A.A. Thermal properties of graphene and few-layer graphene: applications in electronics. IET Circuits, Devices & Systems. 2015;9(1):4–12. https://doi.org/10.1049/iet-cds.2014.0093

5. Ткачев С.В., Буслаева Е.Ю., Губин С.П. Графен – новый углеродный наноматериал. Неорганические материалы. 2011;47(1):5–14.

6. Елецкий А.В., Искандарова И.М., Книжник А.А., Красиков Д.Н. Графен: методы получения и теплофизические свойства. Успехи физических наук (УФН). 2011;181(3):233–268.

7. Колесников В.И. Теплофизические процессы в металлополимерных трибосистемах. М.: Наука; 2003. 279 с. ISBN 5-02-002843-6

8. Колесников В.И., Козаков А.Т., Сидашов А.В., Кравченко В.Н., Сычев А.П. Диффузионные и сегрегационные процессы в металлополимерной трибосистеме. Трение и износ. 2006;27(4):361–365.

9. Лавров И.В., Бардушкин В.В., Яковлев В.Б. Прогнозирование эффективной теплопроводности композитов с графеновыми включениями. Тепловые процессы в технике. 2023;15(7):299–308.

10. Zarubin V.S., Zimin V.N., Kuvyrkin G.N., Savelyeva I.Y., Novozhilova O.V. Two-sided estimate of effective thermal conductivity coefficients of a textured composite with anisotropic ellipsoidal inclusions. Z. Angew. Math. Phys. (ZAMP). 2023;74(4):139. https://doi.org/10.1007/s00033-023-02039-0

11. Bonfoh N., Dinzart F., Sabar H. New exact multi-coated ellipsoidal inclusion model for anisotropic thermal conductivity of composite materials. Appl. Math. Modell. 2020;87(12):584–605. https://doi.org/10.1016/j.apm.2020.06.005

12. Шалыгина Т.А., Мележик А.В., Ткачев А.Г., Воронина С.Ю., Ворончихин В.Д., Власов А.Ю. Синергический эффект гибридного наполнителя на основе графеновых нанопластин и многостенных нанотрубок для повышения теплопроводности эпоксидного композита. Письма в ЖТФ. 2021;47(7):3–6. https://doi.org/10.21883/PJTF.2021.07.50789.18609

13. Колесников В.И., Лавров И.В., Бардушкин В.В., Сычев А.П., Яковлев В.Б. Метод оценки распределений локальных температурных полей в многокомпонентных композитах. Наука Юга России. 2017;13(2):13–20. https://doi.org/10.23885/2500-0640-2017-13-2-13-20

14. Колесников В.И., Яковлев В.Б., Лавров И.В., Сычев А.П., Бардушкин А.В. Распределение электрических полей на поверхности включений в матричном композите. Доклады Российской академии наук. Физика, технические науки. 2023;513(1):34–40. https://doi.org/10.31857/S2686740023060093, https://elibrary.ru/htskme

15. Milton G. The Theory of Composites. Cambridge: Cambridge University Press; 2004. 719 p.

16. Лыков А.В. Теория теплопроводности. М.: Высшая школа; 1967. 600 с.

17. Карташов Э.М., Кудинов В.А. Аналитические методы теории теплопроводности и ее приложений. М.: ЛЕНАНД; 2018. 1072 с. ISBN 978-5-9710-4994-4

18. Карташов Э.М. Новый энергетический эффект в областях нецилиндрического типа с термоизолированной движущейся границей. Russian Technological Journal. 2023;11(5):106–117. https://doi.org/10.32362/2500-316X-2023-11-5-106-117

19. Benveniste Y., Miloh T. The effective conductivity of composites with imperfect thermal contact at constituent interfaces. Int. J. Eng. Sci. 1986;24(9):1537–1552. https://doi.org/10.1016/0020-7225(86)90162-X

20. Benveniste Y. On the effective thermal conductivity of multiphase composites. Z. Angew. Math. Phys. (ZAMP). 1986;37: 696–713. https://doi.org/10.1007/BF00947917

21. Stroud D. Generalized effective-medium approach to the conductivity of an inhomogeneous material. Phys. Rev. B. 1975;12(8):3368–3373. https://doi.org/10.1103/PhysRevB.12.3368

22. Шермергор Т.Д. Теория упругости микронеоднородных сред. М.: Наука; 1977. 399 с.

23. Колесников В.И., Яковлев В.Б., Бардушкин В.В., Лавров И.В., Сычев А.П., Яковлева Е.Н. О методе анализа распределений локальных электрических полей в композиционном материале. Доклады академии наук (ДАН). 2016;467(3):275–279. https://doi.org/10.7868/S0869565216090097

24. Лавров И.В. Диэлектрическая проницаемость композиционных материалов с текстурой: эллипсоидальные анизотропные кристаллиты. Экологический вестник научных центров Черноморского экономического сотрудничества. 2009;1:52–58.

25. Григорьев И.С., Мейлихов Е.З. Физические величины: справочник. М.: Энергоатомиздат; 1991. 1232 с.

26. Ли Х., Невилл К. Справочное руководство по эпоксидным смолам: пер. с англ. М.: Энергия; 1973. 415 с.

27. Шейнерман А.Г., Красницкий С.А. Моделирование влияния агломерации графена на механические свойства керамических композитов с графеном. Письма в ЖТФ. 2021;47(17):37–40. https://doi.org/10.21883/PJTF.2021.17.51385.18844


Дополнительные файлы

1. Зависимости отношения H(M)/H0 от угла между радиус-вектором к точке М и проекцией вектора H0 на плоскость диска при различных величинах угла α между вектором H0 и плоскостью включений.
Тема
Тип Исследовательские инструменты
Посмотреть (564KB)    
Метаданные ▾
  • Получены аналитические выражения для оператора концентрации напряженности температурного поля на поверхности включения в форме тонкого диска из многослойного графена в матричном композите с учетом анизотропии включения в зависимости от положения точки на поверхности включения, от объемной доли включений в материале, от ориентации включения.
  • Рассмотрены два вида распределения ориентаций включений: одинаково ориентированные включения и равномерное распределение ориентаций включений.
  • Показано, что в случае графеновых многослойных включений в точках на их ребрах величина напряженности поля может на несколько порядков превышать напряженность приложенного поля.

Рецензия

Для цитирования:


Лавров И.В., Бардушкин В.В., Яковлев В.Б. Распределение напряженности температурного поля на поверхности включений графена в матричном композите. Russian Technological Journal. 2025;13(2):46-56. https://doi.org/10.32362/2500-316X-2025-13-2-46-56. EDN: TNQTWK

For citation:


Lavrov I.V., Bardushkin V.V., Yakovlev V.B. Distribution of temperature field strength on the surface of graphene inclusions in a matrix composite. Russian Technological Journal. 2025;13(2):46-56. https://doi.org/10.32362/2500-316X-2025-13-2-46-56. EDN: TNQTWK

Просмотров: 436


Creative Commons License
Контент доступен под лицензией Creative Commons Attribution 4.0 License.


ISSN 2782-3210 (Print)
ISSN 2500-316X (Online)