Preview

Russian Technological Journal

Расширенный поиск

Новый энергетический эффект в областях нецилиндрического типа с термоизолированной движущейся границей

https://doi.org/10.32362/2500-316X-2023-11-5-106-117

Аннотация

Цели. Разработка математически модельных представлений энергетического эффекта в областях нецилиндрического типа с термоизолированной движущейся границей. Введение в аналитическую теплофизику и прикладную термомеханику нового граничного условия теплоизоляции движущейся границы как для локально равновесных процессов теплопереноса в рамках классической феноменологии Фурье, так и для более сложных локально-неравновесных процессов в рамках феноменологии Максвелла – Каттанео – Лыкова – Вернотта, учитывающих конечную скорость распространения теплоты. Рассмотрение прикладной задачи аналитической теплофизики и теории теплового удара для области с движущейся термоизолированной границей, свободной от внешних и внутренних воздействий. Получение точного аналитического решения сформулированных математических моделей для уравнений гиперболического типа. Исследование полученных решений с помощью вычислительного эксперимента при различных значениях, входящих в него параметров. Описание волнового характера кинетики рассматриваемых процессов.

Методы. Использованы методы и теоремы операционного исчисления, контурные интегралы Римана – Меллина при вычислении оригиналов сложных изображений с двумя точками ветвления. С учетом вычислительных трудностей при нахождении аналитических решений краевых задач для уравнений гиперболического типа в области с движущейся границей, развит новый математический аппарат эквивалентности функциональных конструкций для оригиналов полученных операционных решений.

Результаты. Представлено развитие новых математических моделей локально-неравновесного теплопереноса и теории теплового удара для уравнений гиперболического типа в области с движущейся термоизолированной границей. Показано, что, несмотря на отсутствие внешних и внутренних источников теплоты, наличие термоизолированной движущейся границы приводит к появлению в области градиента температуры и, следовательно, к появлению в области температурного поля и соответствующих ему термоупругих напряжений, имеющих волновой характер. Стохастический анализ указанного энергетического эффекта позволил высказать предположение о переходе кинетической энергии движущейся термоизолированной границы в тепловую энергию области. Приведенные модельные представления указанного эффекта подтвердили высказанное предположение.

Выводы. Развиты и исследованы математические модели для локально-неравновесных процессов теплопереноса и теории термических напряжений на основе определяющих соотношений теории теплового удара для уравнений гиперболического типа в области с термоизолированной движущейся границей. Проведен численный эксперимент и показана возможность перехода от одной формы аналитического решения теплофизической задачи к другой эквивалентной форме нового типа. Описанный энергетический эффект проявляется как для уравнений параболического типа на основе классической феноменологии Фурье, так и для уравнений гиперболического типа на основе обобщенной феноменологии Максвелла – Каттанео – Лыкова – Вернотта.

Об авторе

Э. М. Карташов
МИРЭА – Российский технологический университет
Россия

Карташов Эдуард Михайлович, д.ф.-м.н., Заслуженный деятель науки РФ, Почетный работник высшего профессионального образования РФ, Почетный работник науки и техники РФ, Почетный профессор МИТХТ им. М.В. Ломоносова, Лауреат Золотой медали АН Беларуси по теплофизике, профессор, кафедра высшей и прикладной математики Института тонких химических технологий им. М.В. Ломоносова 

119571,Москва, пр-т Вернадского, д. 86

Scopus Author ID 7004134344

ResearcherID Q-9572-2016


Конфликт интересов:

Автор заявляет об отсутствии конфликта интересов.



Список литературы

1. Карташов Э.М. Тепловое разрушение полимерных волокон в теории временной зависимости прочности. Тонкие химические технологии. 2021;16(6):526–540. https://doi.org/10.32362/2410-6593-2021-16-6-526-540

2. Карташов Э.М., Соловьев И.А. Стохастический анализ эффекта возникновения градиента температуры при теплоизолированной движущейся границе. Известия РАН. Энергетика. 2017;1:119–128.

3. Карташов Э.М., Кудинов В.А. Аналитические методы теории теплопроводности и ее приложений. М.: URSS; 2017.1080 с. ISBN 978-5-9710-4994-4

4. Vernotte P. Les paradoxes de la theorie continue de lʼeguation de la chaleur. Comptes Rendus. Acad. Sci. Paris. 1958;246(22):3154–3155.

5. Лыков А.В. Теория теплопроводности. М.: Высшая школа; 1967. 600 с.

6. Cattaneo C. Sur une forme de l’eguation de la chaleur eliminant le paradoxe d’une propagation instantance. Comptes Rendus de l’Académie des Sciences. 1958;247(4):431–433.

7. Лыков А.В. Применение методов термодинамики необратимых процессов к исследованию теплои массообмена. Инженерно-физический журнал. 1965;9(3):287–304.

8. Баумейстер К., Хамилл Т. Гиперболическое уравнение теплопроводности. Решение задачи о полубесконечном теле. Теплопередача. 1969;4:112–119.

9. Соболев С.Л. Локально-неравновесные модели процессов переноса. Успехи физ. наук.1997;167(10): 1095–1106. https://doi.org/10.3367/UFNr.0167.199710f.1095

10. Жоу Д., Касас-Баскес Х., Лебон Дж. Расширенная необратимая термодинамика: пер. с англ. М.- Ижевск: Институт компьютерных исследований; 2006. 528 с.

11. Кудинов В.А., Кудинов И.В. Получение и анализ точного аналитического решения гиперболического уравнения теплопроводности для плоской стенки. Теплофизика высоких температур. 2012;50(1): 118–126.

12. Кудинов В.А., Кудинов И.В. Исследование теплопроводности с учетом конечной скорости распространения теплоты. Теплофизика высоких температур. 2013;51(2):301–310.

13. Кирсанов Ю.А. Моделирование теплофизических процессов. СПб.: Изд-во Политехника; 2022. 230 с.

14. Еремин А.В. Исследование быстрорелаксирующих температурных возбуждений, вызываемых сверхкороткими импульсами лазерного излучения. Современная наука: Актуальные проблемы теории и практики. Серия: Естественные и технические науки. 2019;8:47–52.

15. Еремин А.В. Об одном методе математического моделирования процесса переноса теплоты в твердых телах. Перспективы науки. 2019;7(118):117–119.

16. Формалев В.Ф. Уравнения математической физики. М.: URSS; 2021. 648 с. ISBN 978-5-9710-8380-1


Дополнительные файлы

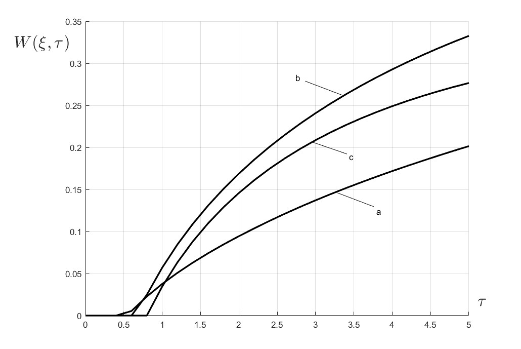
1. Зависимость температурной функции W(ξ, τ) от τ в сечении ξ = 1 для различных v0
Тема
Тип Исследовательские инструменты
Посмотреть (60KB)    
Метаданные ▾
  • Представлено развитие новых математических моделей локально-неравновесного теплопереноса и теории теплового удара для уравнений гиперболического типа в области с движущейся термоизолированной границей.
  • Показано, что, несмотря на отсутствие внешних и внутренних источников теплоты, наличие термоизолированной движущейся границы приводит к появлению в области градиента температуры и, следовательно, к появлению в области температурного поля и соответствующих ему термоупругих напряжений, имеющих волновой характер.
  • Стохастический анализ указанного энергетического эффекта позволил высказать предположение о переходе кинетической энергии движущейся термоизолированной границы в тепловую энергию области.
  • Приведенные модельные представления указанного эффекта подтвердили высказанное предположение.

Рецензия

Для цитирования:


Карташов Э.М. Новый энергетический эффект в областях нецилиндрического типа с термоизолированной движущейся границей. Russian Technological Journal. 2023;11(5):106-117. https://doi.org/10.32362/2500-316X-2023-11-5-106-117

For citation:


Kartashov E.M. New energy effect in non-cylindrical domains with a thermally insulated moving boundary. Russian Technological Journal. 2023;11(5):106-117. https://doi.org/10.32362/2500-316X-2023-11-5-106-117

Просмотров: 549


Creative Commons License
Контент доступен под лицензией Creative Commons Attribution 4.0 License.


ISSN 2782-3210 (Print)
ISSN 2500-316X (Online)