Высокотемпературные квантово-каскадные лазеры терагерцового диапазона: оптимизация дизайнов и экспериментальные результаты
https://doi.org/10.32362/2500-316X-2022-10-3-45-55
Аннотация
Цели. Квантово-каскадные лазеры терагерцового диапазона (ТГц ККЛ) являются компактными твердотельными приборами с инжекционной накачкой, которые позволяют генерировать излучение в диапазоне от 1.2 до 5.4 ТГц. В полосе рабочих частот ТГц ККЛ находятся линии поглощения для ряда веществ, актуальных для медико-биологических и экологических приложений. Для широкого применения ТГц ККЛ в данных приложениях необходимо увеличивать рабочую температуру лазеров, что позволит уменьшить размеры и стоимость ТГц ККЛ, а также упростит использование данных ТГц-источников.
Методы. В работе для расчета электронного транспорта в ТГц ККЛ использовалась система балансных уравнений на основе базиса волновых функций с уменьшенными дипольными моментами туннельно-связанных состояний.
Результаты. В результате расчетов предложен оригинальный зонный дизайн с периодом на основе трех GaAs/Al0.18Ga0.82As квантовых ям (КЯ) и максимумом усиления около 3.3 ТГц. На основе разработанного дизайна был экспериментально изготовлен ТГц ККЛ, что включало рост лазерной структуры методом молекулярно-лучевой эпитаксии, постростовой процессинг для формирования полосковых лазеров с двойным металлическим волноводом и сборку лазеров на теплоотводе. Изготовленные ТГц ККЛ продемонстрировали генерацию вплоть до температуры 125 К, что согласуется с проведенными расчетами. Также в работе проведено исследование зонных дизайнов на основе двух GaAs/AlxGa1–xAs КЯ с различным содержанием алюминия в барьерных слоях (x = 0.20, 0.25 и 0.30).
Выводы. Рассчитанные температурные зависимости пикового усиления для двух-КЯ дизайнов с x > 0.2 подтверждают возможность создания ТГц ККЛ, работающих при температурах свыше 200 К. Таким образом, в работе предложены двух-КЯ зонные дизайны, которые превосходят по максимальной рабочей температуре существующие рекордные высокотемпературные дизайны ТГц ККЛ.
Ключевые слова
Об авторах
Д. В. УшаковБеларусь
Ушаков Дмитрий Владимирович - кандидат физико-математических наук, доцент, декан факультета радиофизики и компьютерных технологий.
220030, Минск, пр-т Независимости, д. 4. Scopus Author ID 6701760232, ResearcherID K-4878-2013
Конфликт интересов:
Авторы заявляют об отсутствии конфликта интересов
А. А. Афоненко
Беларусь
Афоненко Александр Анатольевич - доктор физико-математических наук, доцент, заведующий кафедрой квантовой радиофизики и оптоэлектроники.
220030, Минск, пр-т Независимости, д. 4. Scopus Author ID 6603664811
Конфликт интересов:
Авторы заявляют об отсутствии конфликта интересов
И. А. Глинский
Россия
Глинский Игорь Андреевич - младший научный сотрудник.
117105, Москва, Нагорный пр., д. 7, стр. 5. Scopus Author ID 57190616854, ResearcherID I-4334-2015
Конфликт интересов:
Авторы заявляют об отсутствии конфликта интересов
Р. А. Хабибуллин
Россия
Хабибуллин Рустам Анварович - кандидат физико-математических наук, доцент, ведущий научный сотрудник, ИСПЭ им. В.Г. Мокерова РАН, ведущий научный сотрудник, ФТИ им. А.Ф. Иоффе РАН. Scopus Author ID 55018400000, ResearcherID B-6594-2012.
117105, Москва, Нагорный пр., д. 7, стр. 5; 194021, Санкт-Петербург, Политехническая ул., д. 26
Конфликт интересов:
Авторы заявляют об отсутствии конфликта интересов
Список литературы
1. Sampaolo A., Yu C., Wei T., Zifarelli A., Giglio M., Patimisco P., Zhu H., Zhu H., He L., Wu H., Dong L., Xu G., Spagnolo V. H2S quartz-enhanced photoacoustic spectroscopy sensor employing a liquid-nitrogen-cooled THz quantum cascade laser operating in pulsed mode. Photoacoustics. 2021;21:100219. https://doi.org/10.1016/j.pacs.2020.100219
2. Consolino L., Nafa M., De Regis M., Cappelli F., Garrasi K., Mezzapesa F.P., Li L., Davies A.G., Linfield E.H., Vitiello M.S., Bartalini S., De Natale P. Quantum cascade laser based hybrid dual comb spectrometer. Commun. Phys. 2020;3(1):69. https://doi.org/10.1038/s42005-020-0344-0
3. Irimajiri Y., Morohashi I., Kawakami A. Multifrequency heterodyne detection of molecules using a hot electron bolometer mixer pumped by two phase-locked THz-quantum cascade lasers. IEEE Trans. Terahertz Sci. Technol. 2020;10(5):474–479. https://doi.org/10.1109/TTHZ.2020.2990358
4. Jin Y., Reno J.L., Kumar S. Phase-locked terahertz plasmonic laser array with 2 W output power in a single spectral mode. Optica. 2020;7(6):708–715. https://doi.org/10.1364/OPTICA.390852
5. Rakić A.D., Taimre T., Bertling K., Lim Y.L., Dean P., Valavanis A., Indjin D. Sensing and imaging using laser feedback interferometry with quantum cascade lasers. Appl. Phys. Rev. 2019;6(2):021320. https://doi.org/10.1063/1.5094674
6. Dunn A., Poyser C., Dean P., Demić A., Valavanis A., Indjin D., Salih M., Kundu I., Li L., Akimov A., Davies A.G., Linfield E., Cunningham J., Kent A. High-speed modulation of a terahertz quantum cascade laser by coherent acoustic phonon pulses. Nat. Commun. 2020;11:835. https://doi.org/10.1038/s41467020-14662-w
7. Hagelschuer T., Richter H., Wienold M., Lü X., Röben B., Schrottke L., Biermann K., Grahn H., Hübers H. A сompact 4.75-THz source based on a quantum-cascade laser with a back-facet mirror. IEEE Trans. Terahertz Sci. Technol. 2019;9(6):606–612. https://doi.org/10.1109/TTHZ.2019.2935337
8. Schrottke L., Ropcke J., Grahn H.T., Lu X., Röben B., Drude P., Biermann K., Hagelschuer T., Wienold M., Hübers H.-W., Hannemann M., Hubertus van Helden J.-P. High-performance GaAs/AlAs terahertz quantumcascade lasers for spectroscopic applications. IEEE Trans. Terahertz Sci. Technol. 2020;10(2):133–140. https://doi.org/10.1109/TTHZ.2019.2957456
9. Franckié M., Bosco L., Beck M., Bonzon C., Mavrona E., Scalari G., Wacker A., Faist J. Two-well quantum cascade laser optimization by non-equilibrium Green’s function modelling. Appl. Phys. Lett. 2018;112:021104. https://doi.org/10.1063/1.5004640
10. Bosco L., Franckié M., Scalari G., Beck M., Wacker A., Faist J. Thermoelectrically cooled THz quantum cascade laser operating up to 210 K. Appl. Phys. Lett. 20194;115:010601. https://doi.org/10.1063/1.5110305
11. Khalatpour A., Paulsen A.K., Deimert C., Wasilewski Z.R., Hu Q. High-power portable terahertz laser systems. Nat. Photonics. 2021;15:16–20. https://doi.org/10.1038/s41566-020-00707-5
12. Kainz M.A., Schönhuber S., Andrews A.M., Detz H., Limbacher B., Strasser G., Unterrainer K. Barrier height tuning of THz quantum cascade lasers for high temperature operation. ACS Photonics. 2018;5(11): 4687–4693. https://doi.org/10.1021/acsphotonics.8b01280
13. Yachmenev A.E., Pushkarev S.S., Reznik R., Khabibullin R.A., Ponomarev D.S. Arsenides-and related III-V materialsbased multilayered structures for terahertz applications: various designs and growth technology. Prog. Cryst. Growth Charact. Mater. 2020;66(2):100485. https://doi.org/10.1016/j.pcrysgrow.2020.100485
14. Хабибуллин Р.А., Щаврук Н.В., Павлов А.Ю., Пономарев Д.С., Томош К.Н., Галиев Р.Р., Мальцев П.П., Жуков А.Е., Цырлин Г.Э., Зубов Ф.И., Алфёров Ж.И. Изготовление терагерцового квантово-каскадного лазера с двойным металлическим волноводом на основе многослойных гетероструктур GaAs/AlGaAs. Физика и техника полупроводников. 2016;50(10):1395–1400.
15. Иконников А.В., Маремьянин К.В., Морозов С.В., Гавриленко В.И., Павлов А.Ю., Щаврук Н.В., Хабибуллин Р.А., Резник Р.Р., Цырлин Г.Э., Зубов Ф.И., Жуков А.Е., Алфёров Ж.И. Генерация терагерцового излучения в многослойных квантово-каскадных гетероструктурах. Письма в ЖТФ. 2017;43(7):86–94. https://doi.org/10.21883/PJTF.2017.07.44473.16602
16. Ушаков Д.В., Афоненко А.А., Дубинов А.А., Гавриленко В.И., Васильевский И.С., Щаврук Н.В., Пономарев Д.С., Хабибуллин Р.А. Спектры модовых потерь в ТГц квантово-каскадных лазерах с двойным металлическим волноводом на основе Au и Ag. Квантовая электроника. 2018;48(11):1005–1008. https://doi.org/10.1070/QEL16806
17. Ушаков Д.В., Афоненко А.А., Дубинов А.А., Гавриленко В.И., Волков О.Ю., Щаврук Н.В., Пономарев Д.С., Хабибуллин Р.А. Моделирование квантово-каскадных лазеров терагерцевого диапазона частот методом балансных уравнений на основе базиса волновых функций с уменьшенными дипольными моментами туннельно-связанных состояний. Квантовая электроника. 2019;49(10):913–918. https://doi.org/10.1070/QEL17068
18. Хабибуллин Р.А., Щаврук Н.В., Пономарев Д.С., Ушаков Д.В., Афоненко А.А., Васильевский И.С., Зайцев А.А., Данилов А.И., Волков О.Ю., Павловский В.В., Маремьянин К.В., Гавриленко В.И. Температурная зависимость порогового тока и выходной мощности квантово-каскадного лазера с частотой генерации 3.3 ТГц. Физика и техника полупроводников. 2018;52(11):1268–1273. https://doi.org/10.21883/FTP.2018.11.46581.03
19. Khabibullin R.A., Shchavruk N.V., Ponomarev D.S., Ushakov D.V., Afonenko A.A., Maremyanin K.V., Volkov O.Yu., Pavlovskiy V.V., Dubinov A.A. The operation of THz quantum cascade laser in the region of negative differential resistance. Opto-Electronics Review. 2019;27(4):329. https://doi.org/10.1016/j.opelre.2019.11.002
20. Долгов А.К., Ушаков Д.В., Афоненко А.А., Дюжиков И.Н., Глинский И.А., Пономарев Д.С., Хабибуллин Р.А. Моделирование эффективности электрической накачки квантово-каскадного терагерцевого лазера при неоднородном питании током. Квантовая электроника. 2021;51(2):164–168. https://doi.org/10.1070/QEL17431
21. Khabibullin R., Ushakov D., Afonenko A., Shchavruk N., Ponomarev D., Vasil’evskii I., Safonov D., Dubinov A. Spectra of mode loss in THz quantum cascade laser with double metal waveguide based on Au, Cu and Ag. Proc. SPIE. 2018;11066:1106613. https://doi.org/10.1117/12.2523284
22. Khabibullin R., Ushakov D., Afonenko A., Shchavruk N., Ponomarev D., Volkov O., Pavlovskiy V., Vasil’evskii I., Safonov D., Dubinov A. Silver-based double metal waveguide for terahertz quantum cascade laser. Proc. SPIE. 2019;11022:1102204. https://doi.org/10.1117/12.2521774
23. Хабибуллин Р.А., Щаврук Н.В., Клочков А.Н., Глинский И.А., Зенченко Н.В., Пономарев Д.С., Мальцев П.П., Зайцев А.А., Зубов Ф.И., Жуков А.Е., Цырлин Г.Э., Алфёров Ж.И. Энергетический спектр и тепловые свойства терагерцового квантово-каскадного лазера на основе резонансно-фононного дизайна. Физика и техника полупроводников. 2017;51(4): 540–546. https://doi.org/10.21883/FTP.2017.04.44349.8414
24. Цырлин Г.Э., Резник Р.Р., Жуков А.Е., Хабибуллин Р.А., Маремьянин К.В., Гавриленко В.И., Морозов С.В. Особенности роста наноструктур для терагерцовых квантово-каскадных лазеров и их физические свойства. Физика и техника полупроводников. 2020;54(9):902–905. https://doi.org/10.21883/FTP.2020.09.49829.21
25. Ushakov D., Afonenko A., Khabibullin R., Ponomarev D., Aleshkin V., Morozov S., Dubinov A. HgCdTe-based quantum cascade lasers operating in the GaAs phonon Reststrahlen band predicted by the balance equation method. Opt. Express. 2020;28(17):25371–25382. https://doi.org/10.1364/oe.398552
Дополнительные файлы
|
|
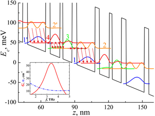
1. Профиль энергии дна зоны проводимости Ec, уровни энергии (пронумерованы цифрами) и базисные волновые функции после процедуры локализации (модель сильной связи) для двух последовательных активных модулей при напряжении V1 = 51 мВ и температуре 77 К | |
| Тема | ||
| Тип | Исследовательские инструменты | |
Посмотреть
(52KB)
|
Метаданные ▾ | |
- В работе представлены ключевые результаты, полученные в ходе создания высокотемпературных квантово-каскадных лазеров терагерцового диапазона (ТГц ККЛ). На основе оригинального метода расчета зонного дизайна были предложены новые схемы работы ТГц ККЛ. Это позволило увеличить рабочие температуры изготовленных ТГц ККЛ до 120 К.
- Верификация метода расчета на основе экспериментальных данных позволила провести оптимизацию высоты потенциальных барьеров в исследуемых зонных дизайнах. Теоретически было показано, что на основе гетеросистемы GaAs/AlGaAs с увеличенным содержанием алюминия в барьерных слоях можно создать ТГц ККЛ с рабочими температурами более 200 К (около 73 °С)
Рецензия
Для цитирования:
Ушаков Д.В., Афоненко А.А., Глинский И.А., Хабибуллин Р.А. Высокотемпературные квантово-каскадные лазеры терагерцового диапазона: оптимизация дизайнов и экспериментальные результаты. Russian Technological Journal. 2022;10(3):45-55. https://doi.org/10.32362/2500-316X-2022-10-3-45-55
For citation:
Ushakov D.V., Afonenko A.A., Glinskiy I.A., Khabibullin R.A. High-temperature terahertz quantum-cascade lasers: design optimization and experimental results. Russian Technological Journal. 2022;10(3):45-55. https://doi.org/10.32362/2500-316X-2022-10-3-45-55


























