Достаточная статистика для параметра распределения Парето
https://doi.org/10.32362/2500-316X-2021-9-3-88-97
Аннотация
Актуальной является задача оценки параметров распределения Парето, в первую очередь, показателя этого распределения, по заданной выборке. В настоящей статье устанавливается, что для этой оценки достаточно знать значение произведения элементов выборки. Доказано, что это произведение является достаточной статистикой для показателя распределения Парето. На основании метода максимального правдоподобия вычислена оценка показателя степени распределения. Доказано, что эта оценка – смещенная, и обоснована формула, устраняющая смещение. Для произведения элементов выборки, рассматриваемого как случайная величина, найдены функция распределения, плотность вероятности, вычислены математическое ожидание, старшие моменты и дифференциальная энтропия. Построены соответствующие графики. Кроме того, отмечается, что достаточной статистикой является любая функция от этого произведения, в частности, среднее геометрическое. Для среднего геометрического, также рассматриваемого как случайная величина, найдены функция распределения, плотность вероятностей, также вычислены математическое ожидание, старшие моменты и дифференциальная энтропия и построены соответствующие графики. Кроме того, обосновано то, что среднее геометрическое выборки является более удобной достаточной статистикой с практической точки зрения, чем произведение элементов выборки. Также, на основании теоремы Рао – Блекуэлла – Колмогорова построены эффективные оценки параметра распределения Парето. В заключение в качестве примера развитая здесь техника применена к показательному распределению. Для него показано, что в качестве достаточной статистики для оценки неизвестного параметра этого распределения могут быть использованы как сумма, так и среднее арифметическое выборки.
Ключевые слова
Об авторах
И. С. ПулькинРоссия
Пулькин Игорь Сергеевич, к.ф.-м.н., доцент кафедры высшей математики Института кибернетики
119454, Москва, пр-т Вернадского, д. 78
А. В. Татаринцев
Россия
Татаринцев Андрей Владимирович, к.ф.-м.н., доцент кафедры высшей математики-2 Физико-технологического института
Scopus Autor ID: 57221996001, 7004076246
119454, Москва, пр-т Вернадского, д. 78
Список литературы
1. Пулькин И.С., Татаринцев А.В. Свойства оценки максимального правдоподобия показателя распределения Парето. Российский технологический журнал. 2018;6(6):77−83. https://doi.org/10.32362/2500-316X-2018-6-6-74-83
2. Пулькин И.С., Татаринцев А.В. Статистические свойства показателя распределения Парето. Cloud of Science. 2020;7(3):498−509.
3. Пулькин И.С., Татаринцев А.В. Инерция формы оценки показателя распределения Парето. Cloud of Science. 2020;7(4):790−800.
4. Afify A.Z., Yousof H.M., Butt N.S., Hamedani G.G. The transmuted Weibull-Pareto distribution. Pak. J. Statist. 2016;32(3):183−206.
5. Dixit U.J., Nooghabi M.J. Comments on the estimate for Pareto distribution. Stat. Methodology. 2010;7:687−691.
6. Ekpenyong E.J., Njoku O.J., Akpan V.M. Efficiency of some estimation methods of the parameters of a two-parameter Pareto distribution. Am. J. Mathem. Stat. 2018;8(5):105−110.
7. Gui W. Modified inverse moment estimation: its principle and applications. Comm. Stat. Appl. Meth. 2016;23(6):479−496. https://doi.org/10.5351/CSAM.2016.23.6.479
8. Hussain S., Bhatti S.H., Ahmad T., Aftab M., Tahir M. Parameter estimation of Pareto distribution: some modified moment estimators. Maejo Int. J. Sci. Technol. 2018;12(01):11−27.
9. Langousis A., Mamalakis A., Puliga M., Deidda R. Threshold detection for the generalized Pareto distribution: review of representative methods and application to the NOAA NCDC daily rainfall database. Water Resour. Res. 2016;52(4):2659−2681. https://doi.org/10.1002/2015WR018502
10. Mansoor R.M., Devendra K. Generalized Pareto distribution based on generalized order statistics and associated inference. Statistics in Transition. New series. 2019;20(3):57−79. https://doi.org/10.21307/stattrans-2019-024
11. Pu C., Pan X. On the actuarial simulation of the general Pareto distribution of catastrophe loss. In: Lecture Notes in Electrical engineering. Book series. 2013. V. 242. P. 1153−1164. https://doi.org/10.1007/978-3-642-40081-0_97
12. Ивченко Г.И., Медведев Ю.И. Введение в математическую статистику. М.: Изд-во ЛКИ; 2010. 600 с.
13. Козлов М.В., Прохоров А.В. Введение в математическую статистику. М.: Изд-во МГУ; 1987. 264 с.
14. Абрамовиц М., Стиган И. Справочник по специальным функциям: пер. с англ. М.: Наука; 1979. 832 с.
Дополнительные файлы
|
|
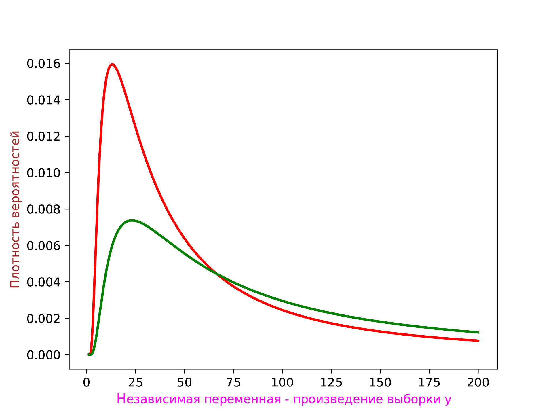
1. Графики плотности вероятностей распределения случайной величины Y с n = 10 (красный) и n = 12 (зеленый), α = 2.5 | |
| Тема | ||
| Тип | Исследовательские инструменты | |
Посмотреть
(239KB)
|
Метаданные ▾ | |
Цель – оценить показатель распределения Парето по заданной выборке. В исследовании доказано, что произведение элементов выборки, а также любая функция от этого произведения, в частности, среднее геометрическое, является достаточной статистикой для показателя распределения Парето. Обосновано, что среднее геометрическое выборки является более удобной достаточной статистикой с практической точки зрения, чем произведение элементов выборки.
Рецензия
Для цитирования:
Пулькин И.С., Татаринцев А.В. Достаточная статистика для параметра распределения Парето. Russian Technological Journal. 2021;9(3):88-97. https://doi.org/10.32362/2500-316X-2021-9-3-88-97
For citation:
Pulkin I.S., Tatarintsev A.V. Sufficient statistics for the Pareto distribution parameter. Russian Technological Journal. 2021;9(3):88-97. (In Russ.) https://doi.org/10.32362/2500-316X-2021-9-3-88-97

























