Помехоустойчивость автокорреляционного демодулятора сигналов с дифференциальной фазовой манипуляцией при наличии релеевских замираний и гармонической помехи
https://doi.org/10.32362/2500-316X-2020-8-3-48-58
Аннотация
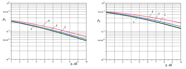
Широкое распространение различных радиосистем с фазовой манипуляцией, в том числе и многопозиционной (М-ФМ - MPSK), обусловлено их высокой помехоустойчивостью и простотой построения передающей и приемной частей аппаратуры. В реальной аппаратуре при реализации схем передатчиков и приемников используется дополнительное дифференциальное (относительное) кодирование и, соответственно, применяются сигналы ДМФМ (DMPSK). Одним из способов приема таких сигналов является применение автокорреляционного демодулятора (АКД), построенного по квадратурной схеме. В статье проведено исследование помехоустойчивости автокорреляционного демодулятора сигналов с дифференциальной фазовой манипуляцией при наличии в радиоканале гауссовского шума, релеевских замираний и гармонической помехи. Определены статистические параметры сигналов и помех в синфазном и квадратурном каналах АКД. При М = 2 и 4 получены аналитические формулы для вероятности символьной ошибки, условной по случайной фазе гармонической помехи. Проверено, что формула при М = 2 без гармонической помехи сводится к выражению, известному из литературы. Значения безусловных вероятностей символьных ошибок получены численным усреднением. Показано, что гармоническая помеха с малой интенсивностью практически не сказывается на помехоустойчивости демодулятора, и в этом случае доминирующее влияние оказывают релеевские замирания. Если интенсивность помехи равна 0.5, то дополнительные энергетические потери за счет гармонической помехи составляют уже около 1.5 дБ (М = 2) и около 3 дБ (М = 4) по сравнению со случаем, когда отсутствует такая помеха.
Об авторах
Г. В. КуликовРоссия
Куликов Геннадий Валентинович - доктор технических наук, профессор, профессор кафедры радиоэлектронных систем и комплексов Института радиотехнических и телекоммуникационных систем.
119454, Москва, пр-т Вернадского, д. 78.
Scopus Author ID 36930533000
Нгуен Ван Зунг
Россия
Нгуен Ван Зунг - аспирант кафедры радиоэлектронных систем и комплексов Института радиотехнических и телекоммуникационных систем.
119454, Москва, пр-т Вернадского, д. 78.
До Чунг Тиен
Россия
До Чунг Тиен - аспирант кафедры радиоэлектронных систем и комплексов Института радиотехнических и телекоммуникационных систем.
119454, Москва, пр-т Вернадского, д. 78.
Список литературы
1. Окунев Ю.Б. Цифровая передача информации фазоманипулированными сигналами. М.: Советское радио, 1991. 296 с. ISBN 5-256-00730-0
2. Финк Л.М. Теория передачи дискретных сообщений. Изд. 2-е, переработанное, дополненное. М: Советское радио, 1970. 728 с.
3. Fuqin Xiong. Digital modulation techniques. Second edition. Artech House Telecommunications Library; 2006. 1039 p.
4. Прокис Дж. Цифровая связь: пер. с англ., под ред. Д.Д. Кловского. М.: Радио и связь, 2000. 800 с.
5. Куликов Г.В., Нгуен Ван Зунг, Нестеров А.В., Лелюх А.А. Помехоустойчивость приема сигналов с многопозиционной фазовой манипуляцией в присутствии гармонической помехи. Наукоемкие технологии. 2018;(11):32-38. https://doi.org/10.18127/j19998465-201811-06
6. Deepak K. Chy, Md. Khaliluzzaman. Evaluation of SNR for AWGN, Rayleigh and Rician Fading Channels Under DPSK Modulation Scheme with Constant BER. Wireless Comm. Mobile Comput. 2015;3(1):7-12. https://doi.org/10.11648/j.wcmc.20150301.12
7. Stosovic S.N., Dimitrijevic B.R., Milosevic N.D., Nikolic Z.B. Frequency Offset Influence on MDPSK Signal Reception in Fading Channel. Telfor J. 2013;5(2):88-91. http://journal.telfor.rs/Published/Vol5No2/Vol5No2_A1.pdf
8. Нгуен Ван Зунг. Помехоустойчивость корреляционного приемника сигналов с многопозиционной фазовой манипуляцией при наличии ретранслированной помехи. Журнал радиоэлектроники. [электронный журнал]. 2019;(3). https://doi.org/10.30898/1684-1719.2019.3.4.
9. Maheswaran P., Selvaraj M.D. Dynamic SSK-BPSK System Under Transmitter Correlated Nonidentical Rayleigh Fading. IEEE Systems J. 2019;13(2):1202-1209. https://doi.org/10.1109/JSYST.2018.2828220
10. Belkacem Y.M., Bentata S.E. BPSK Demodulator Signal Processing for Satellite Communication System. In: 2019 9th International Conference on Recent Advances in Space Technologies (RAST). Istanbul, Turkey. 2019. P. 485-490.
11. Хворостенко Н.П. Статистическая теория демодуляции дискретных сигналов. М.: Связь, 1968. 336 с.
12. Куликов Г.В. Помехоустойчивость автокорреляционного демодулятора сигналов МЧМ в канале связи с гармонической помехой. Радиотехника. 2004;(8):20-22.
Дополнительные файлы
|
|
1. В статье проведено исследование помехоустойчивости автокорреляционного демодулятора сигналов с дифференциальной фазовой манипуляцией при наличии в радиоканале гауссовского шума, релеевских замираний и гармонической помехи. Определены статистические параметры сигналов и помех в синфазном и квадратурном каналах АКД. Показано, что гармоническая помеха с малой интенсивностью практически не сказывается на помехоустойчивости демодулятора, и в этом случае доминирующее влияние оказывают релеевские замирания. | |
| Тема | ||
| Тип | Исследовательские инструменты | |
Посмотреть
(62KB)
|
Метаданные ▾ | |
В статье проведено исследование помехоустойчивости автокорреляционного демодулятора сигналов с дифференциальной фазовой манипуляцией при наличии в радиоканале гауссовского шума, релеевских замираний и гармонической помехи. Определены статистические параметры сигналов и помех в синфазном и квадратурном каналах АКД.
Показано, что гармоническая помеха с малой интенсивностью практически не сказывается на помехоустойчивости демодулятора, и в этом случае доминирующее влияние оказывают релеевские замирания.Рецензия
Для цитирования:
Куликов Г.В., Зунг Н.В., Тиен Д.Ч. Помехоустойчивость автокорреляционного демодулятора сигналов с дифференциальной фазовой манипуляцией при наличии релеевских замираний и гармонической помехи. Russian Technological Journal. 2020;8(3):48-58. https://doi.org/10.32362/2500-316X-2020-8-3-48-58
For citation:
Kulikov G.V., Dung N.V., Tien D.T. Noise immunity of autocorrelation demodulator of signals with differential phase shift keying in the presence of rayleigh fading and harmonic interference. Russian Technological Journal. 2020;8(3):48-58. (In Russ.) https://doi.org/10.32362/2500-316X-2020-8-3-48-58
JATS XML


























